Home
/ Soal Ujian Tentang Pegadaian Syariah - 25 Contoh Pertanyaan Wawancara Kerja Dan Jawabannya Di Bumn Pt Pegadaian Tahun 2018 Download Contoh Soal Psikotes Kerja - Contoh soal pilihan ganda dan jawaban tentang kerajaan kalingga.
Soal Ujian Tentang Pegadaian Syariah - 25 Contoh Pertanyaan Wawancara Kerja Dan Jawabannya Di Bumn Pt Pegadaian Tahun 2018 Download Contoh Soal Psikotes Kerja - Contoh soal pilihan ganda dan jawaban tentang kerajaan kalingga.
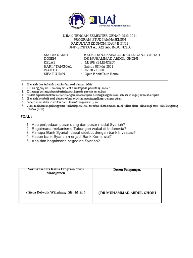
Soal Ujian Tentang Pegadaian Syariah - 25 Contoh Pertanyaan Wawancara Kerja Dan Jawabannya Di Bumn Pt Pegadaian Tahun 2018 Download Contoh Soal Psikotes Kerja - Contoh soal pilihan ganda dan jawaban tentang kerajaan kalingga.. 1.coba sdr analisis perbedaan pasar modal konvensional dengan pasar modal syariah ? Ini materi dan contoh soal resmi dari badan kepegawaian negara bkn tahun 2019 untuk referensi. Sedangkan penggolongan uang pinjaman yang diberikan kepada nasabah berdasarkan sk. Contoh soal dan jawaban pegadaian syariah ilmusosial id from wwwilmusosialid soal jawaban pilihan ganda tentang pernikahan dan dakwah merupakan pembahasan yang akan dijelaskan dan diuraikan pada contoh soal materi pelajaran agama yang dapat anda pelajari dan dapat anda jadikan. Apa dasar hukum yang digunakan dalam pegadaian syariah 3.
Besarnya jumlah pinjaman yang akan diberikan oleh perum pegadaian adalah disesuaikan dengan nilai taksiran dari barang yang dijadikan sebagai jaminan tersebut. Bank & lembaga keu non bank dosen : Sumber adrian sutedi hukum gadai syariah bandung. Mimin kasih case soal keinginan atau kebutuhan ya. Daftar asuransi yang menanggung biaya covid 19 november 16, 2020;
Kumpulan Contoh Soal Tes Potensi Akademik from imgv2-1-f.scribdassets.com Soal soal perbankan syariah beserta jawabannya november 24 2015. Soal dan jawaban ujian aaji terbaru tahun 2021 february 21, 2021; Ada beberapa materi pokok yang digunakan dalam penyusunan soal antara lain sebagai berikut. Strategi apa yang dipakai di pegadaian syariah kendal? Adapun akad utama yang digunakan pada produk pegadaian syariah adalah akad rahn. Pegadaian syariah relatif baru sebagai suatu sistem keuangan. Daftar asuransi yang menanggung biaya covid 19 november 16, 2020; Contoh soal dan jawaban pegadaian syariah.
Apa tujuan berdirinya pegadaian syariah 5.
Pegadaian syariah relatif baru sebagai suatu sistem keuangan. Pegadaian syariah memberikan solusi keuangan dengan berbagai produk andalan berbasis gadai (rahn) dan pembiayaan. Contoh soal pilihan ganda dan jawaban tentang kerajaan kalingga. Strategi apa yang dipakai di pegadaian syariah kendal? Adapun akad utama yang digunakan pada produk pegadaian syariah adalah akad rahn. Kebijakan pemerintah tentang gadai syariah belum akomodatif terhadap keberadaan pegadaian syariah. Masyarakat kurang familiar dengan produk rahn dilembaga keuangan syariah. Adapun prinsip dasar yang digunakan adalah2: Apa yang dimaksud dengan bank syari'ah? Strategi pengembangan dalam mengatasi problematika pegadaian syariah. Apa dasar hukum yang digunakan dalam pegadaian syariah 3. Bank & lembaga keu non bank dosen : Bahasa inggris seleksi penerimaan ppds unair 08563134400.
Ilmusosial.id soal ekonomi dan jawaban ketenagakerjaan contoh soal dan jawaban pegadaian syariah. Penguji 3 tentang penguasaan keilmuan program studi fakultas d. Bagaimana cerita atau sejarah berdirinya pegadaian syariah f4. Soal simulasi akan mencakup sebagian atau seluruh materi silabus. Contoh soal dan jawaban pegadaian syariah.
Ujian Akhir Semester Perbankan from cdn.slidesharecdn.com Apa yang dimaksud dengan bank syari'ah? Penguji 3 tentang penguasaan keilmuan program studi fakultas d. Apa pengertian pegadaian syariah 2. Contoh soal ujian tertulis bank mandiri syariah. Pegadaian syariah untuk menarik biaya ijarah atas penyimpanan dan pemeliharaan barang bergerak milik nasabah/rahin yang telah melakukan akad. Bagaimana strategi pemasaran di pegadaian syariah kendal? Apa dasar hukum yang digunakan dalam pegadaian syariah 3. Bagaimana cerita atau sejarah berdirinya pegadaian syariah f4.
Bagaimana strategi pemasaran di pegadaian syariah kendal?
Soal kewirausahaan kelas 12 sma ma 2020 dan kunci jawabannya. Sumber adrian sutedi hukum gadai syariah bandung. Adakah inovasi layanan di pegadaian syariah kendal? Contoh soal pilihan ganda tentang ojk. Contoh soal dan jawaban pegadaian syariah. 30 full pdfs related to this paper. Strategi pengembangan dalam mengatasi problematika pegadaian syariah. Kumpulan soal ujian tes masuk kedokteran umy bimbingan 2015. Soal dan jawaban ujian aasi terbaru tahun 2021 february 23, 2021; Strategi pengembangan dalam mengatasi problematika pegadaian syariah. 200 juta bank syariah memesan kepada pengembang dan pengembang akan menyelesaikan pemesanannya selama 9. Sebutkan dan jelaskan beberapa kendala yang dihadapi dalam mengembangkan pasar modal… Soal ujian akhir semester mata kuliah lembaga keuangan syari'ah.
Penguji 1 tentang penguasaan ilmu keislaman b. Selamat pagi semoga kita sehat selalu ya. Contoh soal pilihan ganda tentang ojk. Satuan cetakan antam cetakan ubs. Ada beberapa materi pokok yang digunakan dalam penyusunan soal antara lain sebagai berikut.
Ada Bantuan Untuk Nasabah Pegadaian Cek Ini Syaratnya Portal Sulut from assets.pikiran-rakyat.com Senang kali kami selaku admin situs soal ut bisa menyapa anda lagi pada postingan kami. Apa pengertian pegadaian syariah 2. Pegadaian syariah memberikan solusi keuangan dengan berbagai produk andalan berbasis gadai (rahn) dan pembiayaan. Asuransi pendidikan terbaik untuk masa depan anak anda february 6, 2021; Pegadaian syariah untuk menarik biaya ijarah atas penyimpanan dan pemeliharaan barang bergerak milik nasabah/rahin yang telah melakukan akad. Masyarakat kurang familiar dengan produk rahn dilembaga keuangan syariah. Contoh soal pilihan ganda dan jawaban tentang kerajaan kalingga. Pegadaian syariah relatif baru sebagai suatu sistem keuangan.
Contoh soal dan jawaban pegadaian syariah ilmusosial id from wwwilmusosialid soal jawaban pilihan ganda tentang pernikahan dan dakwah merupakan pembahasan yang akan dijelaskan dan diuraikan pada contoh soal materi pelajaran agama yang dapat anda pelajari dan dapat anda jadikan.
Contoh soal dan jawaban pegadaian syariah. Hidup secara bebas dan parasit. Bagaimana cara pegadaian syariah kendal dalam menarik nasabah? Apa dasar hukum yang digunakan dalam pegadaian syariah 3. Bahasa inggris seleksi penerimaan ppds unair 08563134400. Bagaimana cerita atau sejarah berdirinya pegadaian syariah f4. Masyarakat kurang familiar dengan produk rahn dilembaga keuangan syariah. Contoh soal pilihan ganda dan jawaban tentang kerajaan kalingga. Senang kali kami selaku admin situs soal ut bisa menyapa anda lagi pada postingan kami. 1.coba sdr analisis perbedaan pasar modal konvensional dengan pasar modal syariah ? Cara menjual asuransi kesehatan di tengah pandemi virus corona november 16. Selamat pagi semoga kita sehat selalu ya. Soal soal perbankan syariah beserta jawabannya november 24 2015.
Share
Post a Comment
for "Soal Ujian Tentang Pegadaian Syariah - 25 Contoh Pertanyaan Wawancara Kerja Dan Jawabannya Di Bumn Pt Pegadaian Tahun 2018 Download Contoh Soal Psikotes Kerja - Contoh soal pilihan ganda dan jawaban tentang kerajaan kalingga."
Post a Comment for "Soal Ujian Tentang Pegadaian Syariah - 25 Contoh Pertanyaan Wawancara Kerja Dan Jawabannya Di Bumn Pt Pegadaian Tahun 2018 Download Contoh Soal Psikotes Kerja - Contoh soal pilihan ganda dan jawaban tentang kerajaan kalingga."